三相變壓器的變比如何計算?

在電機學中,三相變壓器的變比定義是變壓器的額定相電壓之比。在電力係統分析中,當三相變壓器的原始、副邊參數和外部電路參數轉換時,使用的變比是變壓器的額定電壓(線電壓)之比。原因是什麼?電機學中的變比定義與電力係統分析中的變比定義不同嗎?

引文作者:上海蓋能電氣市場部(專注幹式變壓器30年)

電話:189 1886 3098(微信同號)

在討論之前,我們應該明確,如果三相變壓器的原始和副式,變壓器相電壓比等於變壓器線電壓比。因此,問題主要在於Y/D接線的三相變壓器。

三相變壓器變比的定義是什麼?

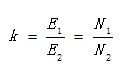
首先,我們來看看電機學中變壓器變比的定義。變壓器原繞組與變壓器副繞組之比稱為變壓器變比,用k表示。

由於變壓器感應電勢與變壓器繞組匝數成正比,

可ke以yi看kan出chu,變bian壓ya器qi的de變bian比bi本ben質zhi是shi原yuan副fu邊bian繞rao組zu的de匝za數shu之zhi比bi。由you於yu變bian壓ya器qi空kong載zai時shi,原yuan副fu邊bian相xiang電dian壓ya與yu相xiang電dian勢shi相xiang似si,從cong定ding義yi上shang看kan,變bian壓ya器qi的de變bian比bi為wei相xiang電dian壓ya之zhi比bi。

電力係統中變壓器的變比有什麼特點?

然(ran)後(hou),我(wo)們(men)來(lai)看(kan)看(kan)電(dian)力(li)係(xi)統(tong)分(fen)析(xi)中(zhong)使(shi)用(yong)的(de)變(bian)壓(ya)器(qi)變(bian)比(bi)。在(zai)電(dian)力(li)係(xi)統(tong)分(fen)析(xi)中(zhong),在(zai)計(ji)算(suan)涉(she)及(ji)兩(liang)個(ge)或(huo)兩(liang)個(ge)以(yi)上(shang)電(dian)壓(ya)等(deng)級(ji)的(de)網(wang)絡(luo)參(can)數(shu)時(shi),需(xu)要(yao)將(jiang)不(bu)同(tong)電(dian)壓(ya)等(deng)級(ji)的(de)變(bian)壓(ya)器(qi)參(can)數(shu)和(he)網(wang)絡(luo)參(can)數(shu)轉(zhuan)換(huan)為(wei)變(bian)壓(ya)器(qi)同(tong)側(ce)。此(ci)時(shi),需(xu)要(yao)使(shi)用(yong)變(bian)壓(ya)器(qi)的(de)變(bian)比(bi)。

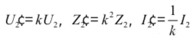
如圖所示,如果我們想將下圖中的所有參數轉換為10kV側,我們需要將110kV側的所有參數(阻抗、導納、電壓、電流)乘以轉換係數。

這裏的電壓電流分別為線電壓、線電流和相阻抗。

變壓器變比總結

變(bian)比(bi)作(zuo)為(wei)變(bian)壓(ya)器(qi)的(de)參(can)數(shu),主(zhu)要(yao)關(guan)注(zhu)變(bian)壓(ya)器(qi)內(nei)部(bu)的(de)接(jie)線(xian)形(xing)式(shi)和(he)實(shi)際(ji)繞(rao)組(zu)匝(za)數(shu)比(bi)。因(yin)此(ci),三(san)相(xiang)變(bian)壓(ya)器(qi)的(de)變(bian)比(bi)是(shi)變(bian)壓(ya)器(qi)的(de)相(xiang)電(dian)壓(ya)比(bi)。在(zai)電(dian)力(li)係(xi)統(tong)的(de)實(shi)際(ji)計(ji)算(suan)中(zhong),變(bian)壓(ya)器(qi)與(yu)外(wai)電(dian)路(lu)的(de)關(guan)係(xi)更(geng)為(wei)重(zhong)要(yao)。因(yin)此(ci),使(shi)用(yong)的(de)變(bian)壓(ya)器(qi)變(bian)比(bi)不(bu)是(shi)變(bian)壓(ya)器(qi)的(de)實(shi)際(ji)變(bian)比(bi),而(er)是(shi)一(yi)種(zhong)轉(zhuan)換(huan)變(bian)比(bi)。簡(jian)言(yan)之(zhi),變(bian)壓(ya)器(qi)的(de)變(bian)比(bi)強(qiang)調(tiao)變(bian)壓(ya)器(qi)的(de)內(nei)部(bu)參(can)數(shu),采(cai)用(yong)相(xiang)電(dian)壓(ya)比(bi);電力係統參數轉換中使用的變壓器變比主要強調變壓器與外電路的關係,采用線電壓比。