無功補償電抗率選7%還是14%,電抗率越高越好?

並聯電容器補償裝置因其容量組合靈活、安裝維護簡單、投資少而被廣泛應用於電力係統中。作為無功電力的主要電源,在電力係統調相調壓、穩定運行、提高電能質量、降jiang低di損sun耗hao和he節jie能neng方fang麵mian發fa揮hui著zhe重zhong要yao作zuo用yong。伴ban隨sui著zhe電dian力li事shi業ye的de迅xun速su發fa展zhan,電dian容rong裝zhuang置zhi的de安an裝zhuang投tou運yun容rong量liang也ye迅xun速su增zeng加jia。同tong時shi,隨sui著zhe電dian力li電dian子zi技ji術shu的de廣guang泛fan應ying用yong,帶dai整zheng流liu器qi的de設she備bei,如ru變bian頻pin調tiao速su裝zhuang置zhi、UPS電源裝置、軟啟動器、新型節能電光源等產生高次諧波電流的電氣設備應用越來越多,給電網帶來嚴重的諧波汙染,導致一係列設備問題。例如電機振動、發熱、變壓器附加損耗、容性電路過電流、幹擾通信、電子設備誤觸發等。因此,必須重視諧波汙染。抑製諧波的措施有很多,比如改變變壓器的接線方式;安裝濾波裝置;安裝靜態(動態)無功補償裝置;在電容電路中安裝串聯電抗器等。

引文作者:上海蓋能電氣市場部(專注幹式變壓器30年)

電話:189 1886 3098(微信同號)

電抗器 

muqian,woguoxuduoyongdiandanweishiyongchuantongdedanchundianrongqijinxingwugongbuchang,qibuchangzhuangzhideyunxingshoudaoyanzhongweixie,dianlidianrongqideguzhanglvyuelaiyuegao。benwenzhuyaotantaozaidianrongqishanganzhuang串聯電抗器,以抑製諧波,避免電容器與電網串聯或並聯諧振,從而提高係統的功率因數,保證補償電容器的穩定運行。

一、諧波對補償係統的影響

無(wu)功(gong)補(bu)償(chang)係(xi)統(tong)中(zhong),電(dian)網(wang)以(yi)感(gan)抗(kang)為(wei)主(zhu),電(dian)容(rong)電(dian)路(lu)以(yi)容(rong)抗(kang)為(wei)主(zhu)。在(zai)工(gong)頻(pin)條(tiao)件(jian)下(xia),並(bing)聯(lian)電(dian)容(rong)器(qi)的(de)容(rong)抗(kang)遠(yuan)大(da)於(yu)係(xi)統(tong)的(de)感(gan)抗(kang)。補(bu)償(chang)電(dian)容(rong)器(qi)向(xiang)電(dian)網(wang)發(fa)出(chu)無(wu)功(gong)功(gong)率(lv),對(dui)電(dian)網(wang)進(jin)行(xing)無(wu)功(gong)補(bu)償(chang),提(ti)高(gao)了(le)係(xi)統(tong)的(de)功(gong)率(lv)因(yin)數(shu)。係(xi)統(tong)中(zhong)有(you)背(bei)景(jing)諧(xie)波(bo)。非(fei)線(xian)性(xing)負(fu)荷(he)會(hui)產(chan)生(sheng)大(da)量(liang)諧(xie)波(bo)電(dian)流(liu)注(zhu)入(ru)電(dian)網(wang),導(dao)致(zhi)電(dian)壓(ya)和(he)電(dian)流(liu)波(bo)形(xing)畸(ji)變(bian)。影(ying)響(xiang)電(dian)力(li)電(dian)容(rong)器(qi)的(de)正(zheng)常(chang)運(yun)行(xing)。

1.1電容器過流

諧波分流原理圖如圖1所示:


n次諧波下變壓器阻抗:

XS(n)=2πf(n)L(1)

n次諧波下電容阻抗:

XC(n)=1/2πf(n)L(2)

當存在高次諧波時,由於f(n)增大,XS(n)增大,XC(n)減少,導致大量諧波電流湧入電容器。假定電容器在滿載電流下工作,如果加上諧波電流,電容器的額定電流大於1.3倍,電容器就會出現故障。

1.2與係統並聯諧振

dangdaliangfeixianxingfuheguawangyunxingshi,dianwanghuichuxianyanzhongdedianyajibianhedianliujibian。cishi,xieboyuanxiangdangyuyigedaxingdianliuyuan,qichanshengdexiebodianliujiaruxitonggankanghedianrongqirongkangzhijian,bingliandianlurutu2所示。


從圖中可以看出,諧波電流部分流經XS(n),部分流經XC(n),回路阻抗為:


n為諧波時,電網感抗等於電容器容抗XC(n),xingchengbinglianxiezhen,bingliandianluzongzukangdengyuwuxianda。dangxiebodianliuliujingzukangwuxiandedianlushi。tahuichanshengwuxiandexiebodianya,zaidianwanghedianrongqizhijianchanshengdadianliu,daozhidianrongqiguzhang。

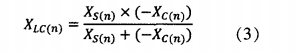
、串聯電抗器對諧波的抑製

無功補償電容器電路串聯電抗器多(duo)用(yong)於(yu)電(dian)氣(qi)設(she)計(ji),抑(yi)製(zhi)諧(xie)波(bo)。諧(xie)波(bo)源(yuan)從(cong)電(dian)力(li)係(xi)統(tong)中(zhong)吸(xi)收(shou)的(de)畸(ji)變(bian)電(dian)流(liu)可(ke)分(fen)解(jie)為(wei)基(ji)波(bo)分(fen)量(liang)和(he)諧(xie)波(bo)分(fen)量(liang),與(yu)基(ji)波(bo)分(fen)量(liang)和(he)供(gong)電(dian)網(wang)阻(zu)抗(kang)無(wu)關(guan),因(yin)此(ci)諧(xie)波(bo)可(ke)視(shi)為(wei)恒(heng)流(liu)源(yuan)。電(dian)力(li)係(xi)統(tong)簡(jian)化(hua)電(dian)路(lu)和(he)諧(xie)波(bo)等(deng)效(xiao)電(dian)路(lu)如(ru)圖(tu)3、4所示:


圖中In為諧波電氣設備,XS為係統基波阻抗,XL為串聯電抗器基波阻抗,XC為電容器基波阻抗。在n次諧波條件下,諧波阻抗分別為:XS(n)=nXs;XL(n)=nXL;XC(n)=XC/n

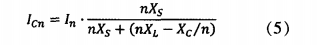
從等效電路阻抗圖4可以得到,流入供電係統的諧波電流I:


        流入並補裝置的諧波電流ICn為:

係統諧波阻抗與係統大小運行方式的短路容量有關。從公式(4)、(5)可以看出,關鍵在於XLXC的取值,現就典型情況討論如下(見表1)

從表1可以看出。為了抑製諧波電流,無功補償電路串聯電抗器必須使電路電抗對諧波源產生的低次諧波電具有電感性,即滿足:


n是主要諧波的低次數。從上麵的討論可以看出,對於同一個係統來說,由於k值不同,其運行狀態也不同,所以正確選擇電抗器的電抗率k值非常重要。


、電抗率的選擇

《並聯電容器裝置設計規範》GB50227-2017中指出了串聯電抗器電抗率的配置標準:用於抑製諧波時,電抗率應根據並聯電容器裝置與電網相連的背景諧波含量的測量值進行選擇。當諧波超過5次時,電抗率應為5.0%;當諧波超過3次時,電抗率應為12.0%,也可采用5.0%12.0%的混合電抗率。

因yin此ci,在zai選xuan擇ze和he補bu充chong裝zhuang置zhi串chuan聯lian電dian抗kang器qi電dian抗kang值zhi參can數shu時shi,首shou先xian要yao研yan究jiu供gong電dian係xi統tong中zhong主zhu要yao諧xie波bo次ci數shu的de範fan圍wei,然ran後hou確que定ding其qi電dian抗kang值zhi的de百bai分fen比bi,避bi開kai可ke能neng的de諧xie波bo放fang大da區qu域yu。

可得式(6)


ω為基波角速度,ω=2πf=100π

這時。實際調諧頻率為:

從公式(7)可以看出,如果係統背景諧波主要是5次諧波,則應串5%6%電抗器,諧振點為224Hz204Hz(可避免5次諧波以上250Hz的諧振);如果背景諧波主要是4次諧波,則應串7%8%電抗器.諧振點為189Hz177Hz(可避免4次諧波以上200Hz的諧振);如果係統背景諧波主要是3次諧波,則應串12%13%電抗器。諧振點為144Hz139Hz(可避免諧次以上諧波150Hz的諧振)

四、串聯電抗器後應注意的問題

串聯電抗器會帶來一些新的問題。如果不注意,也會對電容器的使用造成危害。

4.1選擇電容器的額定電壓

zaixuanzedianrongqideedingdianyashi,yingkaolvdianrongqizutouruyunxinghoudeyuqimuxianyunxingdianya。weishidianrongqizedianrongqideedingdianya,dadaojingjianquanyunxingdemude,zaifenxidianrongqideyuqiyunxingdianyashi,yingkaolvyixiaqingkuang:

(1)並聯電容器裝置接入電網後電網電壓升高;

(2)諧波引起的電網電壓升高;

(3)安裝電抗器導致電容器端子電壓升高;

(4)相間和串聯段之間的容差會導致電壓分配不均勻,增加部分電容器所承受的電壓;

(5)輕負荷導致電網電壓升高。

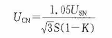
因此,綜合考慮後,電容器額定電壓的選擇按下式確定:

其中UCN是單個電容器的額定電壓,USN是接入點係統的電壓,S是電容器組每相的串聯段數,K是電抗率。以低壓400V係統和串聯電抗率6%的電抗器為例,計算電容器額定電壓Uc=446.8V,即電容器額定電壓應考慮450V以上。

4.2選擇電容器補償容量

串聯相應的電抗器,確定補償電容器的額定電壓後,安裝容量不同於實際輸出容量,兩者的關係可以按下式計算:

Q1是電容器的輸出容量,Q2是電容器的安裝容量,U2是電容器的運行電壓,U1是電容器的額定電壓,Kshidiankanglv。keyikanchu,ruguojinjintigaodianrongqideedingdianya。zaishijicaozuozhong,ruguodiyuedingdianya,jiuhuichuxianwugongrongliangsunshi,daozhiwugongbuchangbuzu。yinci,zaixuanzebuchangdianrongshi,yingkaolvchuanliandiankangqiyinqidedianrongshuchurongliangdebianhua,bingbaoliubufenyuliang。

4.3諧波放大

可以通過式(6)得到,如果串聯電抗器的電抗率為6%,則補回路抑製諧波的次數為:


        也就是說,6%的串聯電抗器抑製諧波超過5次。然而,三次或三次以上諧波電流的放大非常嚴重,導致電容器組損壞。因此,經過大量的運營和經驗數據,國家規定。需要抑製5次以上諧波,避免3次以上諧波放大,電抗率可選為4.5%。此外,為了解決三次諧波放大的問題,一些變電站的電容器組不是每組串聯6%電抗器,而是幾組串聯6%電抗器,另外幾組串聯12%13%電抗器。對於某種背景諧波,在選擇串聯電抗率時,首先要研究供電係統中主要諧波的範圍,然後確定其電抗值的百分比,避免並聯、串聯諧振和諧波放大。

        五、結束語

電容器無功補償是提高係統功率因數、jianshaodianwangwugongsunhaodezhongyaoshouduan。youyudianwangyoubutongchengdudexiebo,wulunheshijinxingwugongbuchang,doubunengpaokaixiebowenti,fouzebujinhuiweijidianrongqideanquan,haihuiweijidianwangxitongdeanquan。串聯電抗器shiwugongbuchangdianrongqizudezhongyaozuchengbufen。diankanglvdexuanzeduibingliandianrongqideyunxinghexitongxiebodeyizhiyouhendayingxiang。yinci,zaichuanliandiankangqishi,bixuceshixitongxiebo,xuanzezhengquedediankanglv,tongshitigaodianrongqideedingdianyaheanzhuangrongliang。